1. 2 曲面LED 陣列的光強分布的數學模型
當接受屏距離足夠遠時,多個L ED 組合形成的面光源可以簡化為點光源,且相鄰兩個LED 之間的間距對曲面L ED 陣列的光強空間的影響可以忽略。則曲面L ED 陣列的光強分布只與L ED 的型號、L ED 的個數、以及單個L ED 傾斜角的垂直分量角φ和水平分量角γ有關。
則光強函數表達式可以表述為:

式中I 為LED 陣列的光強; in 為第n 種型號的單個LED 光源; N 為LED 光源的個數。
根據公式(5) 則:
由公式(7) 可知:改變γi 和φi , 可以改變曲面L ED 陣列的分布,通過合理的配置,無需附加反光杯或透鏡就可以實現L ED 摩托車信號燈的配光設計。
下面就以L ED 摩托車信號燈為例,介紹該方法的應用。
2 曲面LED陣列的光強分布數學模型在LED 摩托車信號燈配光設計中的應用
2. 1 摩托車信號燈的國家標準
我國摩托車信號燈采用的標準是《摩托車光信號裝置配光性能GB T17510 - 1998》,這個標準是針對傳統白熾燈的規定,L ED 摩托車燈具的設計也只能繼續沿用上述標準, 對于LED 摩托車信號燈的配光性能具體規定如下:
在滿足光度學二次平方反比定律距離確定的配光屏幕上,分布在范圍為左右20°,上下10°的橢圓形區域內的測試點,光強要求在一定的范圍之內,且滿足如圖2 中的分布。
120716041003758.jpg" width=450>
其中圖中的柵格線交叉處的數字為百分比,它表示該方向光強最小值與基準軸線方向光強度最小值的比值,柵格線圍成的范圍內任一方向測得的光強不得小于該方向周圍諸方向中最小的光強值。
2. 2 LED 摩托車信號燈的配光設計
由于單個L ED 的光強達不到國家標準對機動車燈光強的要求,因此采用L ED 的摩托車信號燈必須對L ED 進行陣列排布。
目前,市面上不同型號的球帽型L ED 光源的光強分布范圍和國標要求的測點的光強百分比比值不滿足圖2 所示的國標的光強要求,大部分球帽型L ED 光源的光強集中在水平角和垂直角±15°的范圍內且垂直方向的光強分布基本上滿足國標光強分布圖V2V 方向的分布要求,但水平方向±20°處的光強值幾乎為零,因此只需要將水平角15°從擴散到20°,根據公式(7) ,令

則

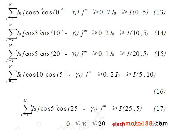
根據國家《摩托車光信號裝置配光性能GB T17510 - 1998》中摩托車信號燈光強滿足的要求,考慮到國標要求光強分布分別關于H - H 對稱和V2V 對稱,則:


其中I (0 ,0) 表示水平方向角0°,垂直方向角0°時的光強值,其余的類推。
EXT-INDENT: 0px; PADDING-TOP: 0px; WHITE-SPACE: normal; LETTER-SPACING: normal; BACKGROUND-COLOR: rgb(255,255,255); orphans: 2; widows: 2; -webkit-text-size-adjust: auto; -webkit-text-stroke-width: 0px"> 上述方程組若γi 為方程的解,則- γi 亦為方程組的解。考慮實際加工燈具的方便, 假設γi 為等差數列。只需從方程(10) —(18) 中求解出一組滿意解γi , 即可以將水平方向的發散角擴散到20°,從而實現對摩托車信號燈的配光設計。
針對摩托車信號燈中具體的一款L ED 制動燈,用上述方法來完成配光設計,進而驗證該方法的可行性。
3、摩托車信號燈中L ED 制動燈的配光設計與仿真驗證
根據《GB478921998 汽車及掛車外部照明和信號裝置的安裝規定》中規定的摩托車色度條件選取達晟光電的R33CA 型的紅光球帽型L ED ,其I0= 4. 55cd ,且θ1/ 2 = 10°。根據《摩托車光信號裝置配光性能GB T1751021998》標準,通過球帶系數法估算整個燈具所需的總光通量和所需的L ED 的數目,共采用15 個R33CA 型紅光L ED 來進行摩托車制動燈的配光設計。
將對應的國標規定的各測點的光強值代入公式(10) 到公式(18) ,通過MA TLAB 求解出方程組的滿意解,即采用3 ×5 的排布,γi 為(0 , ±5°, ±10°) ,即每行5 個L ED 采用柱面型排布。
按照方程組的解將建立的15 個L ED 柱面排布的三維模型導入光學仿真軟件Tracepro 中,得到的矩形光強分布圖如圖3 所示,驗證其光學效果。
通過方程組(10) —(18) 計算得到國標要求的測點的理論值。從圖3 所示的矩形光強分布圖中,讀取國標要求的測點的仿真值。由于測點關于H2H 對稱又關于V2V 對稱,則國標要求的測點的光強值可以簡化為如表1 所示。

從表1 中的數據可以看出,測試點的光強仿真值都在國家標準要求的范圍之內,且仿真值與理論值很接近,而仿真結果也一定誤差范圍內比較真實的反映了燈具實際的光強分布,從而驗證了該設計方案的可行性。

4 結 論
本文提出了一種基于曲面L ED 陣列的光強分布數學模型的新型方法,在推導了曲面L ED 陣列光強分布數學模型的基礎上,將其應用于L ED 摩托車信號燈配光設計。進一步采用Tracepro 光學仿真軟件對該方法設計的L ED 摩托車制動燈進行了模擬實驗,結果證明曲面L ED 陣列光強分布的數學模型正確,能夠滿足國家摩托車配光標準的要求。該方案設計的L ED 摩托車制動燈光線絕大部分集中在左右20°,上下15°的橢圓形區域內,且無需聚光器和配光鏡,光效大大的提高,成本大大的降低,并且生產工藝簡單,經濟實用。


