本文提出了一種基于曲面L ED 陣列的光強分布數學模型的新型方法,在推導了曲面L ED 陣列光強分布數學模型的基礎上,將其應用于L ED 摩托車信號燈配光設計。如果能夠從理論上建立L ED 光強分布的數學模型,研究一種L ED 陣列的光強分布且無需聚光器和配光鏡,使其滿足國家標準,從而為L ED 摩托車信號燈設計提供一種新的快捷、實用的方法,具有重要的理論與實際指導意義。
1 曲面LED 陣列的光強分布的數學模型
1. 1 單個LED 光強分布的數學模型
首先建立單個L ED 光強的分布模型,如圖1 所示。其中,探測球面中心為(0 ,0 ,0) ,半徑為r ,α表示L ED 光源的水平方向角;β表示L ED 光源的垂直方向角;θ表示單個L ED 光線OM 與光軸OL 的夾角;φ表示L ED 光軸OL 與其在x y 平面投影的夾角;γ表示L ED 光軸OL 在x y 平面投影與Y 軸的夾角。
1 曲面LED 陣列的光強分布的數學模型
1. 1 單個LED 光強分布的數學模型
首先建立單個L ED 光強的分布模型,如圖1 所示。其中,探測球面中心為(0 ,0 ,0) ,半徑為r ,α表示L ED 光源的水平方向角;β表示L ED 光源的垂直方向角;θ表示單個L ED 光線OM 與光軸OL 的夾角;φ表示L ED 光軸OL 與其在x y 平面投影的夾角;γ表示L ED 光軸OL 在x y 平面投影與Y 軸的夾角。

則L ED 光軸對應的單位坐標為(co sφsinγ,cosφsinγ,sinφ) ,探測球面上M點的坐標( rcosβsinα,rcosβcosα, rsinβ) 。
由此,L ED 光源的光強分布可以表示為I =I (θ) 或者I = I (α,β) 。
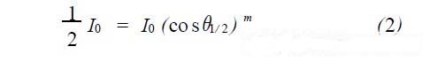
而單個L ED 的光強分布不是理想的朗伯體,該分布可以表述為:

當θ =θ1/ 2 時
即
alt="1.LED摩托車信號燈配光設計" src="/uploadfile/mndz/uploadfile/201207/20120716040856461.jpg" width=400>
由圖1 可知,θ也可以表示為L ED 光軸對應的向量OL 與向量OM 的夾角,則

則

由公式(5) 可知,單個L ED 的光強分布與L ED在空間的傾斜角的垂直分量角φ和水平分量角γ有關,改變φ和γ就可以改變單個L ED 光強的分布。
但是,由于單燈光強小,達不到摩托車信號燈的光強的國標要求,往往需要多個L ED 組合,而改變單個L ED 的傾斜角可以改變光強分布,因此可以進一步研究一種L ED 的曲面陣列排布的光強分布,進而用它來完成對L ED 摩托車信號燈的配光設計。


